Web-Books
in the Austria-Forum
Austria-Forum
Web-Books
Medizin
Pflegekräftemigration nach Österreich - Eine empirische Analyse
Page - 125 -
  • User
  • Version
    • full version
    • text only version
  • Language
    • Deutsch - German
    • English

Page - 125 - in Pflegekräftemigration nach Österreich - Eine empirische Analyse

Image of the Page - 125 -

Image of the Page - 125 - in Pflegekräftemigration nach Österreich - Eine empirische Analyse

Text of the Page - 125 -

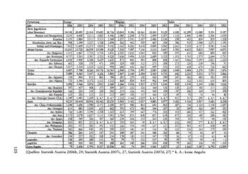
.... ~ CTI Forls<!t,;o,rv Zuzü•c Wcvzü•e Saldo fahr 2006 2005 2004 2003 2002 2006 2005 2004 2003 2002 2006 2005 2004 ehem. Jugoslawien (ohne Slowenien! 14.141 20.495 21.454 19.692 18.726 10.041 9.196 10.365 10.301 9.129 4.100 11.299 11.089 Bosnien und Herzeeowina 3.235 4.608 5.211 5.005 4.346 2.080 2.208 2.731 2.499 2.307 1.155 2.400 2.480 Kroatien 2.535 2.884 3.311 3.315 3.544 2.237 2.241 2.507 2.486 2.336 298 643 804 Mazedonien ehem. iu,. Reo. 948 1.394 1.557 1.538 1.694 562 462 509 467 504 386 932 1.048 Serbien und Montene2ro 7.423 11.609 11.375 9.834 9.142 5.162 4.285 4.618 4.849 3.982 2.261 7.324 6.757 übriRes Eurooa 11.015 13.720 16.939 13.509 9.520 7.310 7.097 7.116 5.512 3.447 3.705 6.623 9.823 dar.: Bulearien 1.315 1.467 1.725 1.714 1.431 1.020 1.035 1.045 830 589 295 432 680 dar.: Rumänien 4.757 5.261 5.501 5.333 4.320 3.656 3.496 3.528 2.689 1.529 1.101 1.765 1.973 dar.: Russische Förderarion 2.438 3.909 6.500 3.629 1.632 871 843 905 808 408 1.567 3.066 5.595 dar.: Schweiz 602 528 570 471 399 329 308 312 275 308 273 220 258 dar.: Ukraine 1.017 1.314 1.335 1.225 994 684 656 665 499 331 333 658 670 Türkei 4.897 7.798 8.261 10.176 10.761 2.948 2.794 2.991 3.085 2.885 1.949 5.004 5.270 Afrika 3.089 4.365 5.437 4.226 3.801 2.447 2.144 2.204 2.503 1.735 642 2.221 3.233 dar.: Äevoten 534 840 813 802 784 287 279 330 420 390 247 561 483 dar.: Nimia 723 1.346 2.372 1.512 1.253 868 824 819 902 444 -145 522 1.553 Amerika 3.096 3.366 3.076 2.815 2.560 2.266 2.056 1.935 1.733 1.544 830 1.310 1.141 dar.: Brasilien 397 457 408 375 309 267 232 226 164 156 130 225 182 dar.: Dominikanische Reoublik 166 332 310 328 302 253 126 141 169 104 -87 206 169 dar.: Kanada 253 242 213 211 213 184 150 137 165 127 69 92 76 dar.: Vereini•te Staaten !USA! 1.549 1.481 1.349 k. A.' k.A.' 1.132 1.164 1.059 k.A.' k.A.' 417 317 290 Asien 9.225 10.418 10.954 10.562 10.235 5.943 5.102 5.037 4.881 3.977 3.282 5.316 5.917 dar.: China (Volksreoublikl 1.244 1.696 1.990 2.171 2.100 957 940 865 641 403 287 756 1.125 dar.: Georeien 611 882 1.050 653 602 591 673 485 344 207 20 209 565 dar.: Indien 726 1.285 1.194 1.338 1.323 623 599 667 776 503 103 686 527 dar.: Iran 2.173 1.078 1.027 1.115 1.001 1.700 875 838 827 618 473 203 189 dar.: laoan 338 349 306 307 360 234 264 233 263 230 104 85 73 dar.: Mon•olei 425 401 327 k. A.' k. A.' 193 101 50 k. A.' k. A.' 232 300 277 dar.: Philiooinen 383 557 585 595 572 126 154 148 157 127 257 403 437 dar.: Thailand 345 466 430 395 390 223 140 167 116 96 122 326 263 Ozeanien 286 261 255 247 255 200 187 245 180 202 86 74 10 dar.: Australien 234 217 202 208 214 178 150 212 147 170 56 67 -10 staatenlos 118 143 180 111 93 79 71 121 117 95 39 72 59 unReklän 340 503 402 393 288 261 240 286 334 438 19 263 116 keine Anoabe 79 1.436 5.791 8.357 13.036 56 74 204 1.565 1.027 23 1.362 5.587 [Quellen: Statistik Austria 2006b, 29; Statistik Austria 2007c, 27, Statistik Austria 2007d, 27) • k. A.: keine Angabe 2003 2002 9.391 9.597 2.506 2.039 829 1.208 1.071 1.190 4.985 5.160 7.997 6.073 884 842 2.644 2.791 2.821 1.224 196 91 726 663 7.091 7.876 1.723 2.066 382 394 610 809 1.082 1.016 211 153 159 198 46 86 k. A.' k. A.' 5.681 6.258 1.530 1.697 309 395 562 820 288 383 44 130 k. A.' k. A.' 438 445 279 294 67 53 61 44 -6 -2 59 - 150 6.792 12.009
back to the  book Pflegekräftemigration nach Österreich - Eine empirische Analyse"
Pflegekräftemigration nach Österreich Eine empirische Analyse
Forschungsergebnisse der Wirtschaftsuniversität Wien
Title
Pflegekräftemigration nach Österreich
Subtitle
Eine empirische Analyse
Author
Maureen Lenhart
Publisher
PETER LANG - Internationaler Verlag der Wissenschaften
Date
2010
Language
German
License
CC BY 4.0
ISBN
ISBN 978-3-631-75391-0
Size
14.8 x 21.0 cm
Pages
304
Category
Medizin
Web-Books
Library
Privacy
Imprint
Austria-Forum
Austria-Forum
Web-Books
Pflegekräftemigration nach Österreich