Wir freuen uns über jede Rückmeldung. Ihre Botschaft geht vollkommen anonym nur an das Administrator Team. Danke fürs Mitmachen, das zur Verbesserung des Systems oder der Inhalte beitragen kann. ACHTUNG: Wir können an Sie nur eine Antwort senden, wenn Sie ihre Mail Adresse mitschicken, die wir sonst nicht kennen!

unbekannter Gast
Dies ist Version . Es handelt sich nicht um die aktuelle Version und kann folglich auch nicht geändert werden.
[Zurück zur aktuellen Version]    [Diese Version wiederherstellen]
vom 17.09.2013, aktuelle Version,

DNA-Ligase

DNA-Ligase
Bezeichner
Externe IDs
Enzymklassifikation
EC, Kategorie 6.5.1.-, Ligase
Substrat (Desoxyribonukleotid)m + (Desoxyribonukleotid)n
Produkte (Desoxyribonukleotid)m+n

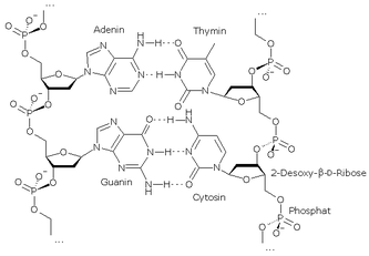
DNA-Ligasen sind Enzyme, die DNA-Stränge verknüpfen. Sie bilden dabei eine Esterbindung zwischen einem Phosphatrest und dem Zucker Desoxyribose aus. Sie gehören in der EC-Nummern-Nomenklatur zu den Ligasen und besitzen die Nummer EC 6.5.1.-.

Zwei Nukleotide des gleichen DNA-Stranges werden durch eine Esterbindung zwischen einem Phosphatrest und einem Zucker (Desoxyribose) verknüpft.

Zerschnittene Nukleinsäuren entstehen bei verschiedenen Vorgängen innerhalb von Zellen:

  • Bei der DNA-Replikation entstehen auf dem diskontinuierlichen Strang nicht zusammenhängende DNA-Stücke, die Okazaki-Fragmente. Die Verknüpfung dieser Stücke wird von Ligasen bewerkstelligt.
  • Bei verschiedenen DNA-Reparatur-Mechanismen reparieren Ligasen die Strangbrüche.
  • Beim Spleißen auftretende Strangbrüche werden durch Ligasen wieder geschlossen.

Verwendung

Die in der Molekularbiologie aus Organismen isolierten bzw. rekombinant hergestellten Ligasen sind ein unverzichtbares Werkzeug, z. B. für die Gentechnik: Um gezielt DNA-Fragmente neu miteinander zu verbinden, werden die mittels Restriktionsendonukleasen geschnittenen Fragmente zusammen mit der DNA-Ligase und dem entsprechenden Kofaktor inkubiert. Die Ligase verknüpft die DNA-Stränge, sodass sich beispielsweise wieder ein ringförmiges Plasmid ergibt, das anschließend in Bakterienzellen transformiert werden kann.

Die am häufigsten verwendeten DNA-Ligasen sind:

  • T4 DNA-Ligase: Sie kann sowohl glatte als auch überhängende Restriktionsenden verknüpfen. Als Kofaktor benötigt dieses Enzym ATP.
  • E. coli DNA-Ligase: Sie kann keine glatten Enden verknüpfen und braucht überhängende Enden. Als Kofaktor benötigt dieses Enzym NAD+.

Literatur

  • Lehman, I.R. (1974): DNA ligase: structure, mechanism, and function. In: Science. Bd. 186, Nr. 4166, S. 790-797. PMID 4377758