Kinetische Energie
Die kinetische Energie (von altgriechisch κίνησις kínēsis, deutsch ‚Bewegung‘) oder auch Bewegungsenergie oder selten Geschwindigkeitsenergie ist die Energie, die ein Objekt aufgrund seiner Bewegung enthält. Sie entspricht der Arbeit, die aufgewendet werden muss, um das Objekt aus der Ruhe in die momentane Bewegung zu versetzen. Sie hängt von der Masse und der Geschwindigkeit des bewegten Körpers ab.
Als Formelzeichen für die kinetische Energie wird häufig oder verwendet. Die SI-Maßeinheit der kinetischen Energie ist das Joule.[1]
Das Konzept der kinetischen Energie als eine Größe, die bei elastischen Stößen und vielen anderen mechanischen Vorgängen erhalten bleibt, wurde als vis viva (‚Lebendige Kraft‘) von Gottfried Wilhelm Leibniz eingeführt, der darin in Streit mit den Anhängern von René Descartes die korrekte Erhaltungsgröße in der Mechanik sah (1686). Diese Größe war allerdings um den Faktor 2 größer als die heute gültige kinetische Energie. Der Faktor 1⁄2 in der Formel für die kinetische Energie findet sich schon 1726 bei Daniel Bernoulli.[2] Das eigentliche Energiekonzept bildete sich aber erst im 19. Jahrhundert heraus, insbesondere in der Schule der angewandten Mathematik in Frankreich und mit dem Aufkommen der Thermodynamik. In der Mechanik des 18. Jahrhunderts, deren Hauptuntersuchungsgegenstand die Himmelsmechanik war, spielte es noch keine große Rolle.[3] Die Ausdrücke „kinetische Energie“ und „potentielle Energie“ wurden 1859 von dem schottischen Ingenieur William J. M. Rankine geprägt.[4]
Kinetische Energie in der klassischen Mechanik
Massenpunkt
In der klassischen Mechanik ist die kinetische Energie eines Massenpunktes proportional zu seiner Masse und dem Quadrat seiner Geschwindigkeit :
- .
Fährt beispielsweise ein Auto der Masse mit einer Geschwindigkeit von , hat es demzufolge eine kinetische Energie von (das Joule, , ist die SI-Einheit der Energie).
Wenn man den Bewegungszustand des Körpers nicht durch seine Geschwindigkeit , sondern durch seinen Impuls beschreibt, wie das u. a. in der Hamiltonschen Mechanik üblich ist, so gilt für die kinetische Energie (wegen )
- .
Herleitung
Geradlinige Bewegung mit konstanter Kraft
Wird ein Körper der Masse aus der Ruhe heraus auf die Geschwindigkeit beschleunigt, so muss man dafür die Beschleunigungsarbeit zufügen. Im einfachsten Fall bewegt sich der Körper entlang einer Geraden und eine konstante Kraft wirkt in Richtung der Bewegung. Dies trifft zum Beispiel auf einen Körper im freien Fall zu. Unter diesen Voraussetzungen beträgt die Beschleunigungsarbeit
- ,
wobei die zurückgelegte Strecke ist. Aufgrund der konstant wirkenden Kraft erfährt der Körper eine gleichmäßige Beschleunigung, nach dem Zweiten Newtonschen Gesetz ist . Nach einer Zeit beträgt die Geschwindigkeit und die zurückgelegte Strecke . Unter Verwendung dieser Beziehungen erhält man aus der obigen Gleichung
- .
Da der ruhende Körper zu Beginn der Bewegung eine kinetische Energie von null hat, entspricht seine kinetische Energie nach dem Beschleunigungsvorgang genau diesem Wert .
Geradlinige Bewegung mit variabler Kraft
Wirkt die Kraft zwar immer noch in Richtung der Bewegung, ist jedoch nicht konstant, so erhält man die Beschleunigungsarbeit als Wegintegral
- ,
wobei den Anfangspunkt und den Endpunkt der Bewegung bezeichnet. Setzt man hier wie oben das Zweite Newtonsche Gesetz ein und substituiert , so erhält man mit dem Transformationssatz
- .
Es ist , also ist ist eine Stammfunktion von . Mit dem Hauptsatz der Analysis folgt
- ,
woraus man schließlich mit und die Formel erhält.
Allgemeine Bewegung
Bewegt sich der Körper aus anfänglicher Ruhelange in einem Punkt entlang einer (allgemeinen) Kurve unter dem Einfluss einer beschleunigenden Kraft zu einem Endpunkt , so erhält man die Beschleunigungsarbeit als Kurvenintegral
- .
Analog zur geradlinigen Bewegung lässt sich dieses Integral transformieren zu
- .
Nach der Produktregel ist , also ist eine Stammfunktion von . Mit dem Hauptsatz der Analysis folgt
- ,
woraus man mit und schließlich erhält.
Bewegung in einem Koordinatensystem
Beschreibt man die Bewegung eines Körpers in einem Koordinatensystem, so lässt sich die kinetische Energie je nach Wahl des Koordinatensystems wie folgt berechnen:
- Ebene Polarkoordinaten ():
- Kugelkoordinaten ():
Dabei bedeutet der Punkt über der Koordinate ihre zeitliche Änderung, die Ableitung nach der Zeit. Die Formeln berücksichtigen nicht die Energie, die möglicherweise in der Eigenrotation des Körpers steckt.
Starre Körper
Die kinetische Energie eines starren Körpers mit der Gesamtmasse und der Geschwindigkeit seines Schwerpunktes ist die Summe der Energie aus der Bewegung des Schwerpunkts (Translationsenergie) und der Rotationsenergie aus der Drehung um den Schwerpunkt:
Hier ist das Trägheitsmoment des Körpers bezüglich seines Schwerpunktes und die Winkelgeschwindigkeit der Drehung.
Mit dem Trägheitstensor wird dies allgemein geschrieben als:
Hydrodynamik
In der Hydrodynamik wird oft statt der kinetischen Energie die kinetische Energiedichte angegeben. Diese wird meistens durch ein kleines oder ausgedrückt:
Hierbei bezeichnet die Dichte und das Volumen.
Kinetische Energie in der relativistischen Mechanik
In der relativistischen Physik gilt die oben angegebene Abhängigkeit der kinetischen Energie von der Geschwindigkeit nur näherungsweise für Geschwindigkeiten deutlich kleiner als die Lichtgeschwindigkeit. Aus dem Ansatz, dass die kinetische Energie die Differenz aus Gesamtenergie und Ruheenergie ist, folgt:
Dabei ist die Lichtgeschwindigkeit, die Masse und der Lorentz-Faktor
Aus der Taylor-Entwicklung nach erhält man
- ,
also für wieder die kinetische Energie der klassischen Mechanik.
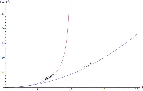
Da die Energie über alle Grenzen wachsen müsste, wenn die Geschwindigkeit gegen die Lichtgeschwindigkeit geht, ist es nicht möglich, einen massebehafteten Körper auf Lichtgeschwindigkeit zu beschleunigen.
Das Diagramm rechts zeigt die relativistische kinetische Energie und die nach der klassischen Mechanik als Funktion der Geschwindigkeit (gemessen in Vielfachen der Lichtgeschwindigkeit) für einen Körper mit der Masse von .
Da die Geschwindigkeit eines bewegten Körpers vom Bezugssystem abhängt, gilt dies auch für dessen kinetische Energie. Das gilt in klassischer und in relativistischer Physik.
- Anwendungsbeispiele
Im elektrischen Feld nimmt die Energie eines Elektrons der Ladung und der Masse linear mit der durchlaufenen Beschleunigungsspannung zu. Die kinetische Energie ist nun die Differenz der relativistischen Gesamtenergie und der Ruheenergie 0.[5] Die kinetische Energie ist also:
Beachtet man, dass für die Gesamtenergie
gilt (: relativistischer Impuls) und zwischen Impuls und Gesamtenergie der Zusammenhang
besteht, folgt für die Gesamtenergie aus also:
Berechnet man nun die Differenz aus und , setzt den Ausdruck gleich und löst nach auf, erhält man abschließend:
- mit der Ruheenergie eines Elektrons
Bei Beschleunigungsspannungen unterhalb 1 kV lässt sich die Geschwindigkeit aus dem klassischen Ansatz für die kinetische Energie abschätzen, bei höheren Energien muss relativistisch gerechnet werden. Bereits bei einer Spannung von 10 kV erreichen die Elektronen eine Geschwindigkeit von fast 20 % der Lichtgeschwindigkeit, bei 1 MV 94 %.
Der Large Hadron Collider führt Protonen eine kinetische Energie von 6,5 TeV zu. Diese Energie ist etwa achttausend Mal größer als die Ruheenergie eines Protons. Bei einer Kollision zwischen entgegengesetzt beschleunigten Protonen können Teilchen mit einer entsprechend hohen Ruheenergie entstehen.
Kinetische Energie in der Quantenmechanik
In der Quantenmechanik ist der Erwartungswert der kinetischen Energie eines Teilchens der Masse , welches durch die Wellenfunktion beschrieben wird, gegeben durch
- ,
wobei das Quadrat des Impulsoperators des Teilchens ist.
Im Formalismus der Dichtefunktionaltheorie ist nur vorausgesetzt, dass die Elektronendichte bekannt ist, das heißt, dass die Wellenfunktion formal nicht bekannt sein muss. Mit der Elektronendichte ist das exakte Funktional der kinetischen Energie für Elektronen unbekannt; falls jedoch im Fall ein einzelnes Elektron betrachtet wird, so kann die kinetische Energie als
geschrieben werden, wobei das Weizsäcker-Funktional der kinetischen Energie ist.
Siehe auch
- Potentielle Energie
- Energieerhaltungssatz
- Schleppkraft (Kinetische Energie in der Geographie)
Literatur
- Wolfgang Nolting: Klassische Mechanik. In: Grundkurs Theoretische Physik. 8. Auflage. Band 1. Springer-Verlag, Berlin 2008, ISBN 978-3-540-34832-0.
- Richard P. Feynman: Feynman-Vorlesungen über Physik. Mechanik, Strahlung, Wärme. 5., verbesserte Auflage, definitive Edition. Oldenbourg, München / Wien 2007, ISBN 978-3-486-58444-8. (= The Feynman Lectures on Physics, Band 1).
- Paul A. Tipler: Physik. 3. korrigierter Nachdruck der 1. Auflage. Spektrum Akademischer Verlag, Heidelberg / Berlin 1994, ISBN 3-86025-122-8.
- Ludwig Bergmann, Clemens Schaefer: Mechanik – Akustik – Wärme. In: Walter de Gruyter (Hrsg.): Lehrbuch der Experimentalphysik. 12. Auflage. Band 1. Berlin 2008, ISBN 978-3-11-019311-4.
- Rainer Müller: Klassische Mechanik: Vom Weitsprung zum Marsflug. Hrsg.: De Gruyter. 2015, ISBN 978-3-11-044530-5 (eingeschränkte Vorschau in der Google-Buchsuche).
- Dieter Meschede: Gerthsen Physik. Springer-Verlag, 2015, ISBN 978-3-662-45977-5 (eingeschränkte Vorschau in der Google-Buchsuche).
Weblinks
Einzelnachweise
- ↑ vergleiche 1,602·10−19 J = 1 eV = 1,602·10−19 C · V = 1,602·10−19 A·s·V = 1,602·10−19 W·s = 3,827·10−23 Kilokalorien kcal (Liste von Größenordnungen der Energie).
- ↑ István Szabó: Geschichte der mechanischen Prinzipien. Birkhäuser, S. 71.
- ↑ Max Jammer: Artikel Energie. In: Donald Borchert (Hrsg.): Encyclopedia of Philosophy. Thomson Gale, 2006.
- ↑ Paul Diepgen, Heinz Goerke: Aschoff/Diepgen/Goerke: Kurze Übersichtstabelle zur Geschichte der Medizin. 7., neubearbeitete Auflage. Springer, Berlin/Göttingen/Heidelberg 1960, S. 40.
- ↑ A. P. French: Die spezielle Relativitätstheorie – M.I.T. Einführungskurs Physik 1968, S. 19–23.
License Information of Images on page#
| Image Description | Credit | Artist | License Name | File |
|---|---|---|---|---|
| E Kin (für einen Körper mit einer Masse von 1 kg) | Eigenes Werk ( Originaltext: selbst erstellt ) | Allen McC. | Datei:E Kin.jpg | |
| Velocity of an electron in an electrical field. | Eigenes Werk | Berklas | Datei:Elektronengeschwindigkeit.png |

